pg电子
欢迎访问巨乳做爱
|
巨乳做爱 pg电子
|
后台登录
巨乳做爱 pg电子
巨乳做爱概况
巨乳做爱简介
现任领导
行政人员
师资队伍
所有教师
教授
副教授
讲师
助教
退休教师风采
本科生教育
专业介绍
培养方案
研究生教育
专业介绍
导师介绍
学术科研
科研管理
科研成果
学术活动
党群工作
组织机构
规章制度
组织生活
工会活动
团学工作
学工动态
文档下载
教学科研管理文件
实验室管理文件
学生管理文件
其他管理文件
学生作品
书记院长邮箱
新闻公告
巨乳做爱 新闻
巨乳做爱 公告
当前位置:
巨乳做爱 pg电子
>>
巨乳做爱 公告
>> 正文
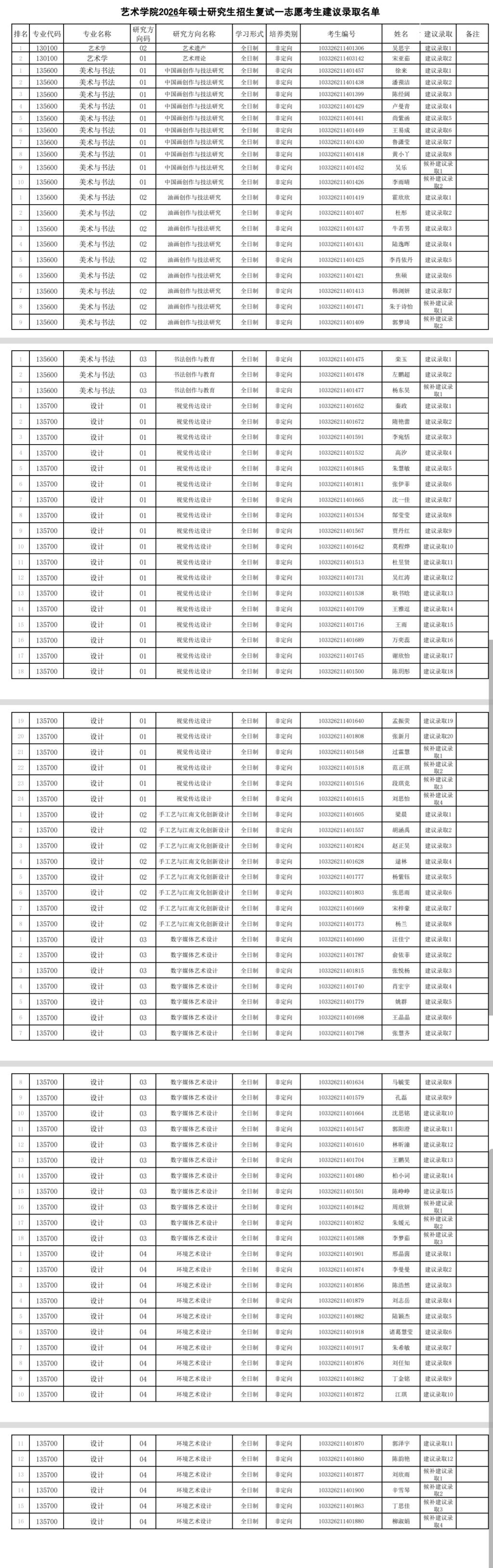
巨乳做爱 2026年硕士研究生招生复试一志愿考生建议录取名单
作者: 编辑:严万祺 图片作者: 发表时间:2026-03-30 浏览次数:
下一条:
巨乳做爱 2026年硕士研究生招生复试录取工作实施细则